Дифференцирование неявно заданных функций (перевод с англ.)
| Функцию можно задать явно и неявно. В школе Вы чаще всего имели
дело с явным заданием функции посредством уравнения, разрешенного
относительно переменной y, например,
y = 2x-3.
Можно считать, что оно определяет функцию со значением y = f(x), f(x) = 2x - 3. Но и уравнение 2x - y = 3 задает ту же функцию! Вот это второе уравнение есть неявное задание y как функции от x. Так как никакого различия между переменными x или y в этом уравнении нет, оно неявно определяет и x как функцию y |
|
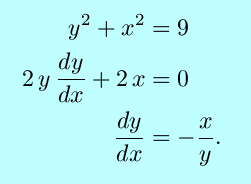
Отнюдь не все неявные выражения задают единственную функцию. Например, неявное выражение x2+y2 = 9 "содержит" две явных функции,

с геометрической точки зрения записанные выше выражения
описывают верхнюю и нижнюю полуокружности соответственно. Можно сказать
и иначе: уравнение
x2+y2 = 9 равносильно
совокупности уравнений
.
|
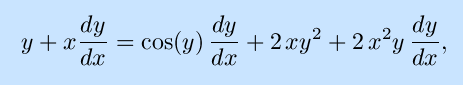
Уравнение xy = sin(y)+x2y2 (описывающее кривую, изображенную на рис. слева) не может быть разрешено ни относительно y как явной функции от x , ни x как явной функции от y. Эта неявная функция рассмотрена в Примере 2. |
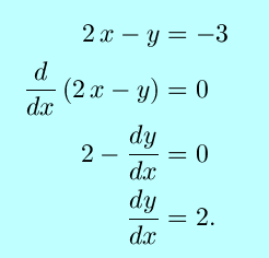
Возможно это и удивительно, но мы можем дифференцировать неявные функции также как и явные. Надо лишь найти производные от правой и левой частей уравнения, имея в виду, что зависимая переменная y есть функция независимой, ее производная записывается формально как y'. При этом используем обычные правила дифференцирования, а затем находим y'. Вот как это делается для простого примера:

Результат , естественно, совпадает с тем, который получается при дифференцировании явного выражения, y = 2x-3, по x.
Этот простой пример вряд ли Вас чему-либо сильно научил. Рассмотрим еще один пример, уравнение окружности радиуса 3, с центром в начале координат. Возьмем производную по x от обеих частей равенства.

Мы не получили явного выражения для производной через x, поскольку не имеем явного выражения для y. Некоторое обсуждение полученного результата можно провести, используя геометрический смысл производной.


Угловой коэффициент касательной к графику имеет знак противоположный знаку отношения x/y, а его абсолютное значение возрастает , когда точка касания приближается к оси Оx.
(В данном случае, если для нахождения dy/dx выразить y явной функцией от x, придется вычислять производную дробной степени.)

Заметим, что данное выражение можно разрешить относительно x как кубическое уравнение или y как уравнение четвертой степени. Но мы не будем делать ни того, ни другого.
Найдем производные обеих частей равенства, рассматривая y как функцию от x,

разрешим относительно y',

Как и во многих случаях в результате неявного дифференцирования мы выражаем производную как через x так и через y. Для того, чтобы выразить результат только через x (это иногда возможно), требуется\ разрешить исходное выражение относительно y. Тем самым получить явную функциональную зависимость от x, но тогда неявное дифференцирование и не потребуется.

Применяя правила дифференцирования получаем:


|
![]() Можно разрешить данное уравнение относительно y и получить явную функцию x, даже построить график. Тем не менее и здесь применим технику неявного дифференцирования:
![]()
![]() |
|



